Предмет: Математика, автор: Samsonova147

Найти общее решение:
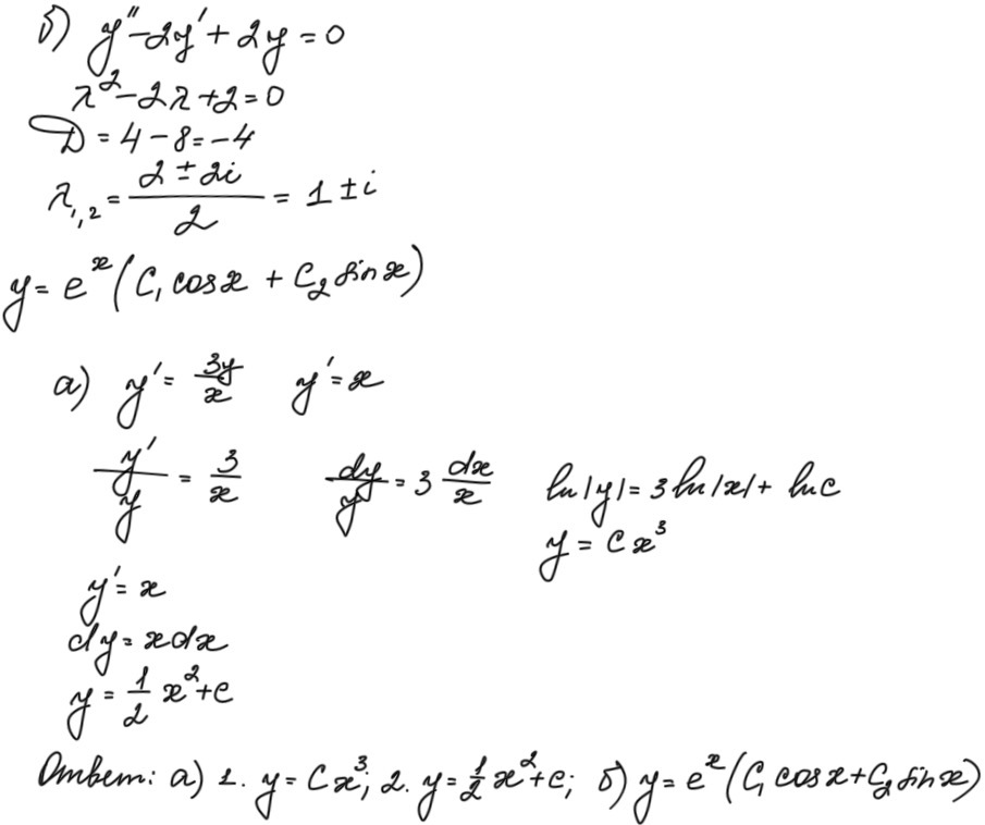
а) линейных дифференциальных уравнений
y'=(3y)/x=x
б) линейных однородных дифференциальных уравнений второго порядка
y''-2y'+2y=0

Ответы

Автор ответа: IgMike
0
Решение находится во вложенном файле
Приложения:
Похожие вопросы
Предмет: Литература, автор: olahlopicka37
Повість «Тіні забутих предків» М. Коцюбинського
*Обов’язкове поле
Електронна адреса *
Укажіть хибне твердження (дві відповіді): *
«Тіні забутих предків»- неоромантична повість
«Тіні забутих предків»- зображення життя гуцулів на межі ХХ й ХХІст.
«Тіні забутих предків»- протиставлення світу людей і природи
«Тіні забутих предків»- історія українських Ромео та Джульєтти
«Тіні забутих предків»- епос
«Тіні забутих предків»- дві сюжетні лінії
Ваше прізвище та ім'я *
Зав’язкою у творі «Тіні забутих предків» М. Коцюбинського є *
Зародження кохання між Іваном та Марічкою
Знайомство Івана Палійчука та Марічки Гутенюк
Бійка між Гутенюками й Палійчуками
Знайомство Івана з силами природи
З історією написання твору «Тіні забутих предків» М. Коцюбинського пов’язано усе, ОКРІМ *
Робота у філоксерній комісії
Вивчав етнографічні матеріали
Повернення після лікування з Італії
Подорож з сином Юрієм
Запрошення друга-фольклориста
Зустрічі з гуцулами, вивчення звичаїв та обрядів
Відпочинок у Криворівні
Яким сюжетним елементом є смерть Марічки? *
Розвиток дії
Зав’язка
Експозиція
Кульмінація
Розв’язка
Яким сюжетним елементом є смерть Івана? *
Розв’язка
Зав’язка
Експозиція
Розвиток дії
Кульмінація
Розвитком дії у творі «Тіні забутих предків» М. Коцюбинського є усе, ОКРІМ (дві відповіді) *
Знайомство Івана й Марічки
Перебування Івана на полонині
Зародження кохання між Іваном та Марічкою
Смерть Марічки
Зрада Палагни з мольфаром
Одруження з Палагною
Смерть Івана
У творі «Тіні забутих предків» М. Коцюбинського наявні усі проблеми, ОКРІМ *
образи та прощення
сили кохання
життя і смерті
вибору
добра і зла
митця і суспільства
життєсхвалення
батьків та дітей
співіснування людини і природи
Який композиційний елемент М. Коцюбинський використовує в творі «Тіні забутих предків» *
коломийки
щедрівки
веснянки
колядки
Експозицією у творі «Тіні забутих предків» М. Коцюбинського є усе, ОКРІМ *
Зображення карпатської природи
Розповідь про дитинство Івана
Збирання гуцульських родин на свято до церкви
Бійка між Гутенюками й Палійчуками
Знайомство Івана й Марічки

Відповідь на це запитання обов'язкова