Предмет: Алгебра,
автор: jamjam200
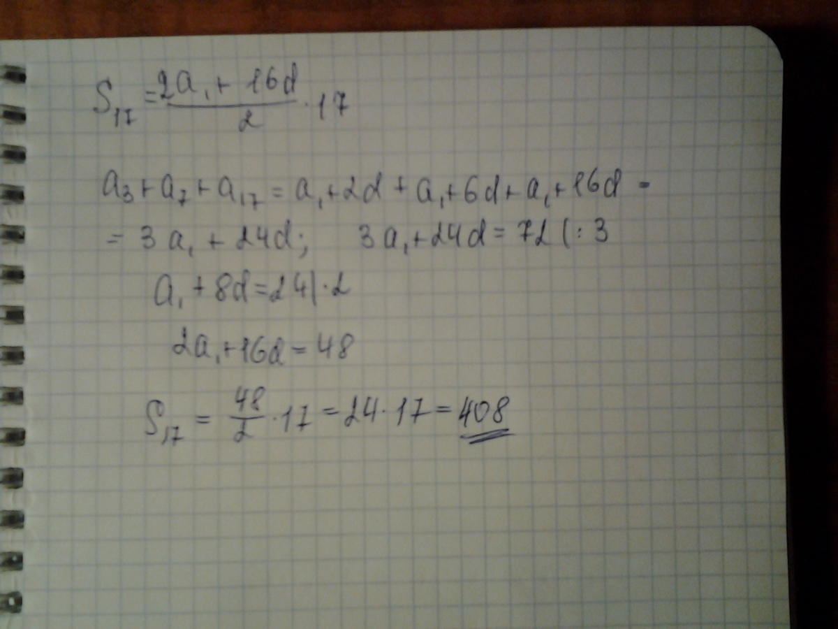
a3+a7+a17=72 как найти s17
Ответы
Автор ответа:
0
Использованы формулы арифметической прогрессии
Приложения:
Похожие вопросы
Предмет: Математика,
автор: kortik10
Предмет: Литература,
автор: 184lazareva4a
Предмет: География,
автор: anyaalyelfeky
Предмет: Математика,
автор: Аноним
Предмет: Математика,
автор: muravevakarink