Предмет: Алгебра,
автор: МаРиЯ1
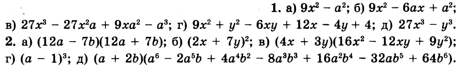
Алгебра 7 класс Формулы Сокращенного Умножения .Задания внутри . Нужно подробное !!!! решение
Приложения:
Ответы
Автор ответа:
0
Думаю все поймешь но настчет 1 (д) неуверен
Приложения:
Похожие вопросы
Предмет: История,
автор: islambeksultangazin1
Предмет: Математика,
автор: minuradusekenova9
Предмет: Геометрия,
автор: 4675324
Предмет: Физика,
автор: леля30
Предмет: Физика,
автор: Aidana11