Предмет: Математика,
автор: Chipa1910Nice
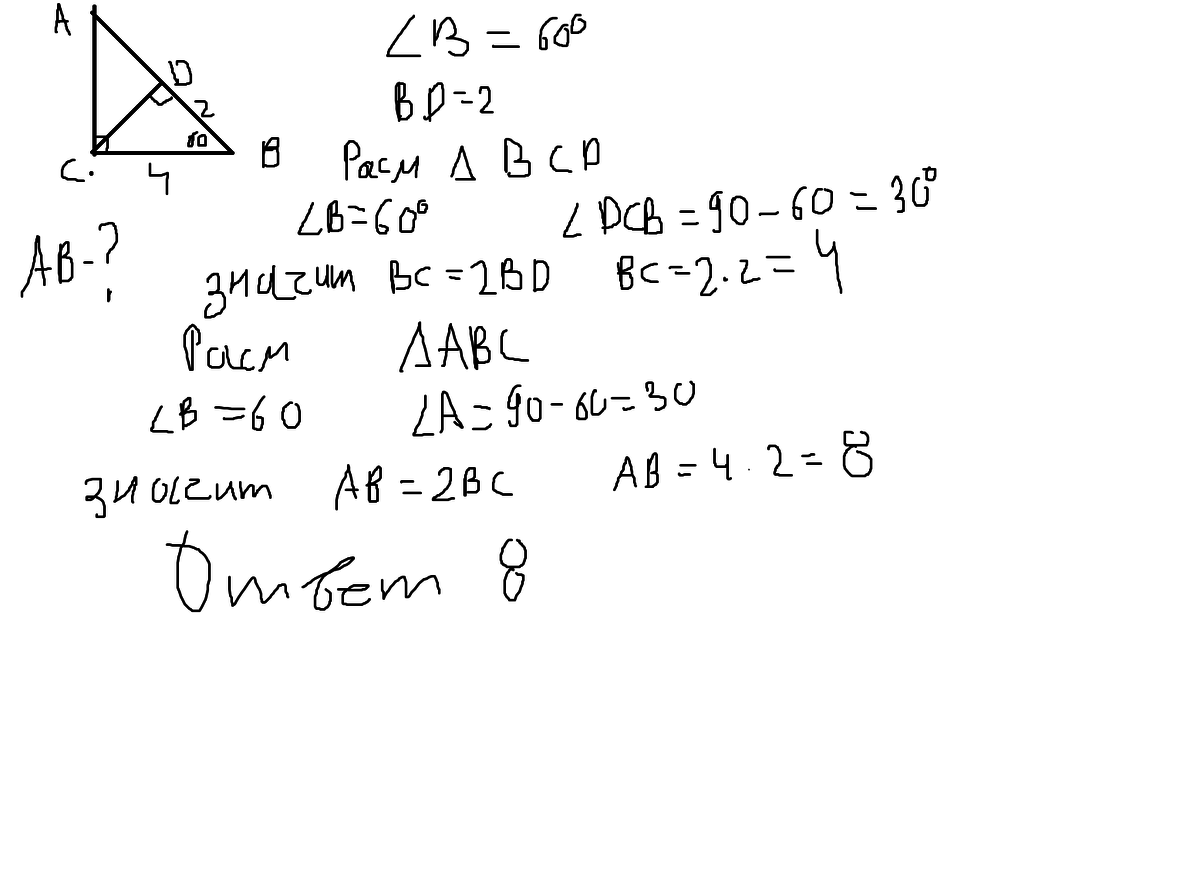
геометрия,8 класс,помогите
Приложения:
Ответы
Автор ответа:
0
Ну вот посмотри рисунок там все написано
Приложения:
Похожие вопросы
Предмет: Математика,
автор: ayanatrisdauleto
Предмет: Геометрия,
автор: Glypushka125
Предмет: Математика,
автор: KiRiLlrtv
Предмет: Алгебра,
автор: Аноним