Предмет: Алгебра,
автор: 55555homa
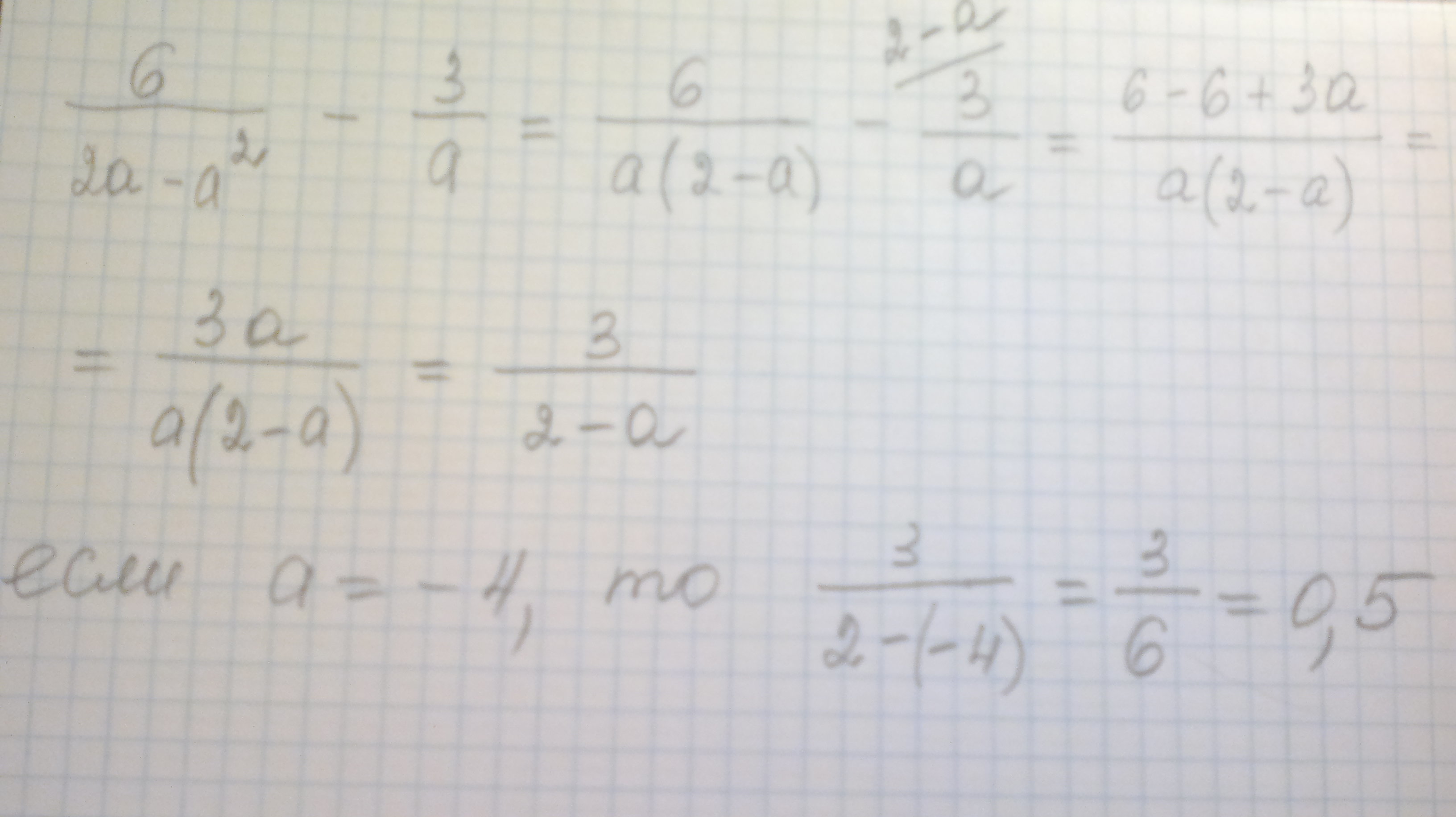
6/(2a-a^2)-3/a. a= -4. Найдите значение выражения.
Ответы
Автор ответа:
0
Пишите, если что не так.
Приложения:
Похожие вопросы
Предмет: Алгебра,
автор: juliaonesko
Предмет: Другие предметы,
автор: chingachkuk11121
Предмет: Окружающий мир,
автор: bespalovaeva8
Предмет: Математика,
автор: bairatskaya
Предмет: Алгебра,
автор: Милая2000