Предмет: Алгебра,
автор: slavavava
Будьте добры , оказать помощь(((НЕ успеваю просто(((Сколько можите
Приложения:
Ответы
Автор ответа:
0
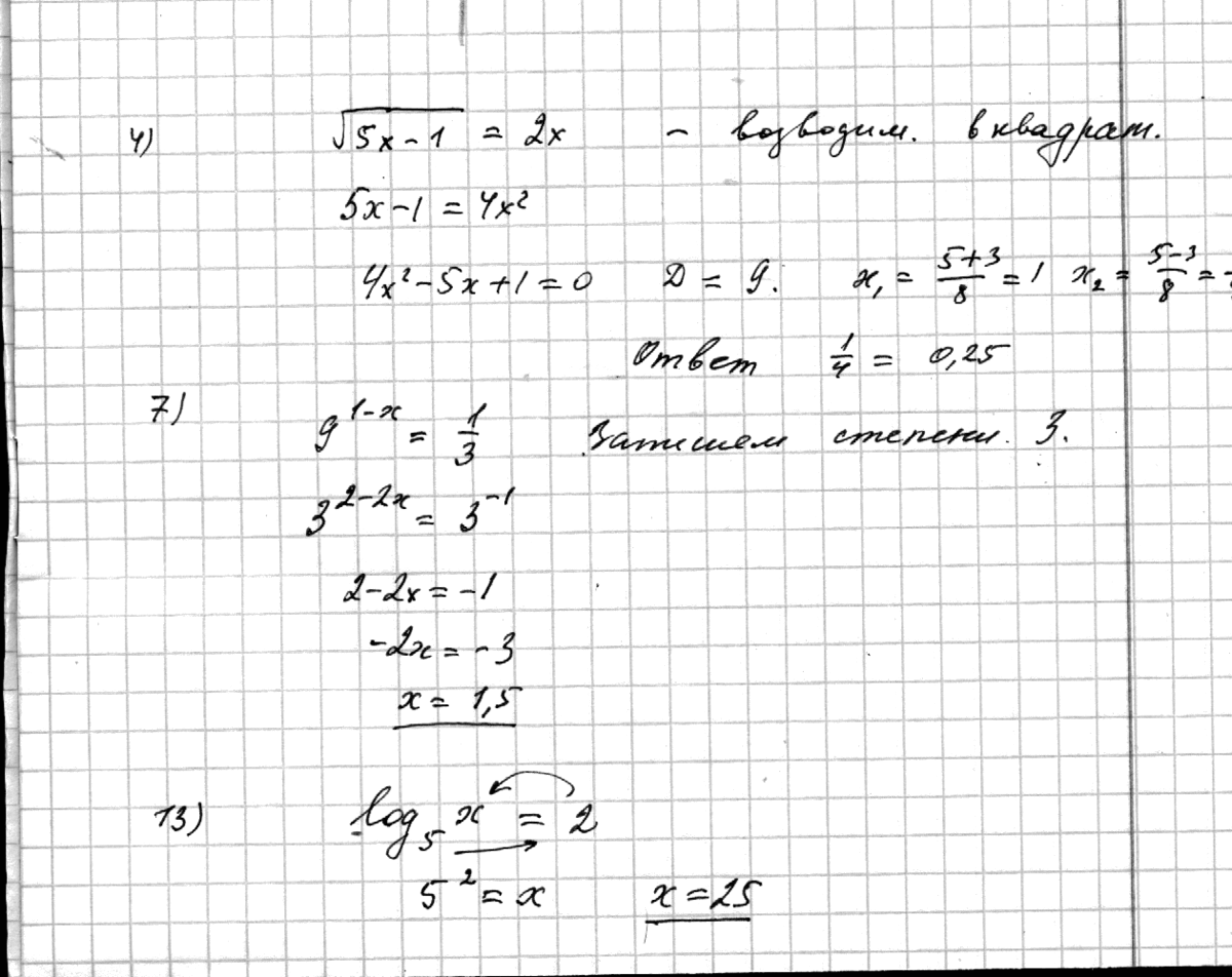
Здесь несколько типов уравнений. Иррациональные решаются возведением в квадрат обеих частей,в показательных обе части приводятся к степеням одного числа, а логарифмические по определению,на примере стоят стрелки.
При решении иррациональных уравнений нужно проверку сделать, могут быть посторонние корни.
При решении иррациональных уравнений нужно проверку сделать, могут быть посторонние корни.
Приложения:
Автор ответа:
0
http://znanija.com/task/17094778
Автор ответа:
0
Спасибо огромное , теперь на одного счастливого человека на Земле больше)))
Автор ответа:
0
Рад, что смог помочь!
Похожие вопросы
Предмет: Українська мова,
автор: ter09ihor
Предмет: Математика,
автор: sofiaahiamova
Предмет: Литература,
автор: Аноним
Предмет: Алгебра,
автор: runjakk
Предмет: История,
автор: CОфья0204