Предмет: Алгебра,
автор: НютаСтолярова
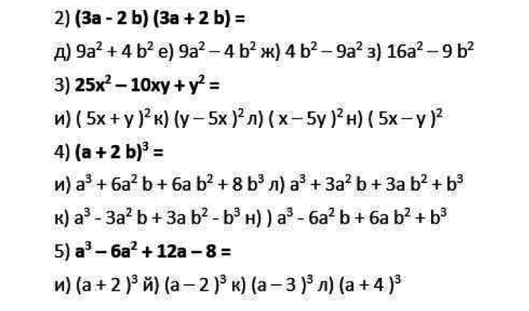
Выберите правильный ответ. Задание на скриншоте.
Приложения:
Ответы
Автор ответа:
0
2) Это разность квадратов, поэтому ответ - е.
3)Бином Ньютона, поэтому ответ - н.
4)Тоже Бином, 3 степени, поэтому ответ - и.
5)Тоже 3 степени, ответ- й.
3)Бином Ньютона, поэтому ответ - н.
4)Тоже Бином, 3 степени, поэтому ответ - и.
5)Тоже 3 степени, ответ- й.
Автор ответа:
0
Пункты попутал там со2-ого нумерация идет - подправь, а то разные умники банить любят
Автор ответа:
0
неправильноо
Автор ответа:
0
неправиильнооо
Автор ответа:
0
Благодарен за замечание.
Автор ответа:
0
Огромное спасибо за решение и адекватные комменты!!!)) очень благодарна
Похожие вопросы
Предмет: Математика,
автор: alinapraskova
Предмет: Русский язык,
автор: anyakit08
Предмет: Қазақ тiлi,
автор: kerimgalia
Предмет: Алгебра,
автор: NosovaMasha
Предмет: Математика,
автор: pikapikamilka