Предмет: Математика,
автор: VeranikaCoooos
Помогите!!! Аааааааааа
25б
Приложения:
Ответы
Автор ответа:
0
Ответы на фотографии ниже
Приложения:
Автор ответа:
0
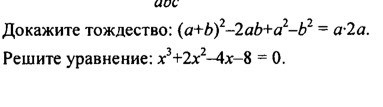
х³+2х²-4х-8 = 0
(х³+2х²) - (4х -8)=0
х²(х+2) - 4(х+2)=0
(х²-4)(х+2)=0
х²-4=0
х+2=0
х₁°₂ = ∵2
х³= -2
(х³+2х²) - (4х -8)=0
х²(х+2) - 4(х+2)=0
(х²-4)(х+2)=0
х²-4=0
х+2=0
х₁°₂ = ∵2
х³= -2
Приложения:
Похожие вопросы
Предмет: Алгебра,
автор: 80littlegiant
Предмет: Математика,
автор: dasevicmargarita
Предмет: Физика,
автор: annamar02072008
Предмет: Алгебра,
автор: emil1389
Предмет: Обществознание,
автор: Claudia17