Предмет: Алгебра, автор: Abigayli

помогите со степенями, пожалуйста

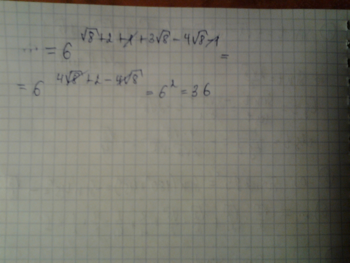
Приложения:

Ответы

Автор ответа: okneret
0
Использованы свойства степеней
Приложения:
Похожие вопросы
Предмет: География, автор: jeka6949
1. В каких полушариях расположена территория Европейского Юга:

1) северном и западном 2) южном и западном

3) северном и восточном 4) южном и восточном



2. К народам Европейского Юга относятся:

1) чеченцы, ингуши, адыгейцы 2) карачаевцы, лакцы, карелы

3) табасараны, кумыки, саамы



3. Какой субъект Европейского Юга имеет общую границу с Украиной:

1) Республика Дагестан 2) Ростовская область

3) Краснодарский край 4) Ставропольский край



4. Территорию какого субъекта омывает Чёрное море:

1) Республика Ингушетия 2) Краснодарский край

3) Республика Дагестан 3)Республика Адыгея



5. Характерной особенностью населения Европейского Юга является:

1) высокий естественный прирост 2) многонациональный состав

3) преобладание сельского населения 4) низкая средняя плотность



6. Выберите верные утверждения:

1) Европейский Юг – многонациональный район

2) Большая часть равнин района занята степями

3) Почвы в Предкавказье – серые лесные

4) Новороссийск является крупным морским портом

5) Основная сельскохозяйственная культура – рис

6) В районе находится западная часть Донецкого угольного бассейна



7. Восточную часть территории Северного Кавказа омывают воды … моря:

1) Чёрного 2) Красного 3) Каспийского 4) Азовского



8. Большая часть территории Европейского Юга лежит в пределах … климатического пояса:

1) субтропического 2) умеренного 3) субарктического

4) арктического



9. Наибольшее количество осадков на территории Северного Кавказа выпадает:

А) на Черноморском побережье Краснодарского края

Б) в нижнем течении реки Дон в Ростовской области

В) в высокогорной части Кавказа

Г) в нижнем течении реки Терек в Республике Дагестан

10. Рельеф Европейского Юга:

1) горный 2) равнинный 3) горный и равнинный



11. Основными минеральными ресурсами района являются:

1) уголь 2) газ 3) железная руда 4) нефть

5) руды цветных металлов





12. Большая часть горских народов исповедует:

1) православие 2) ислам 3) буддизм



13. Городом-миллионером в районе является:

1) Краснодар 2) Грозный 3) Сочи 4) Ростов-на-Дону



14. Наибольший естественный прирост наблюдается в республиках:

1) Дагестан 2) Чечня 3) Ингушетия 4) Кабардино-Балкария