Предмет: Алгебра,
автор: shelocov777
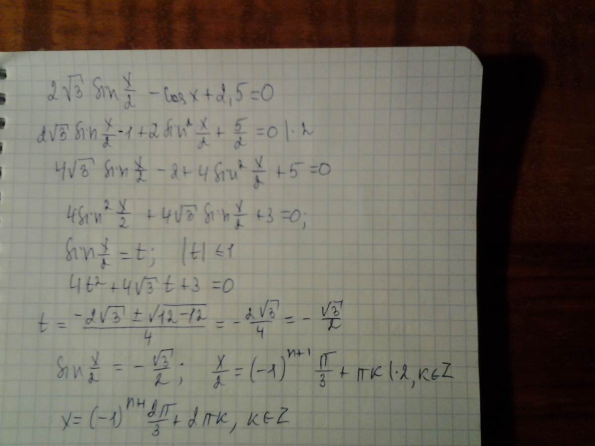
Помогите решить 15 задание . 2корень из 3*sinx/2 - cosx+ 2,5=0
Ответы
Автор ответа:
0
Применена формула двойного угла косинуса
Приложения:
Похожие вопросы
Предмет: Русский язык,
автор: anna8994
Предмет: Английский язык,
автор: moskalenkoanna156
Предмет: Биология,
автор: foxyar42
Предмет: Математика,
автор: katson
Предмет: Математика,
автор: mavlomnbek02