Предмет: Алгебра,
автор: nikita2407
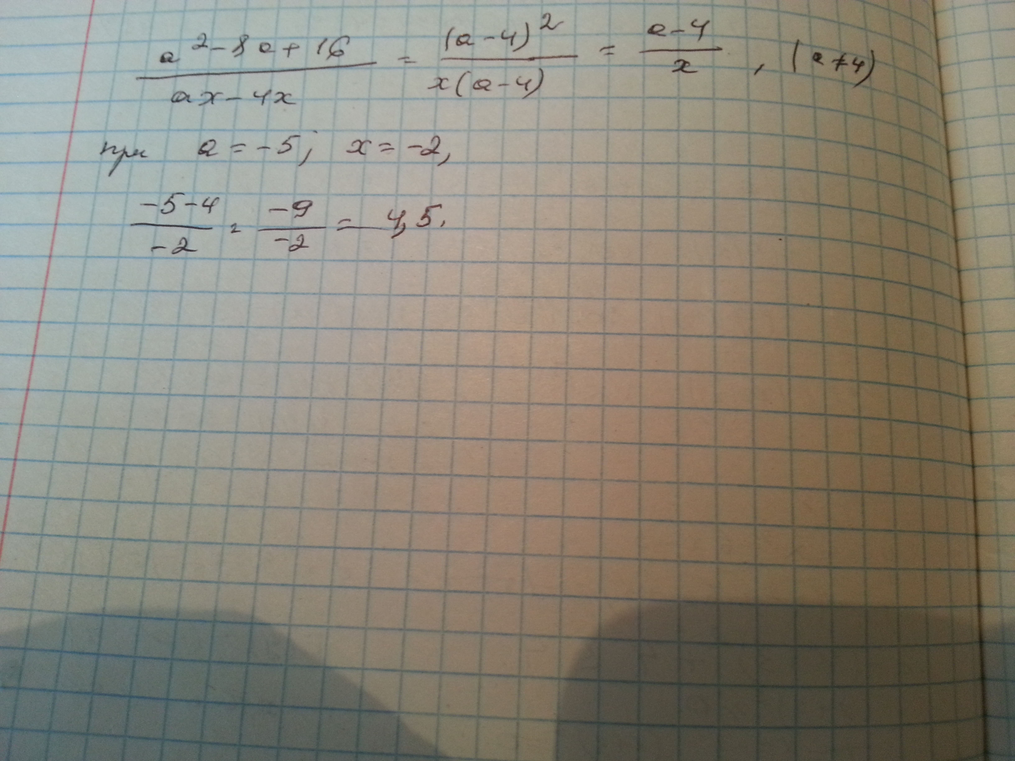
упростите дробь и найдите числовое значение выражения
a^2-8a+16
-------------- при а=-5 х=-2
ax-4x
Ответы
Автор ответа:
0
Ответ ответ ответ ответ ответ ответ
Приложения:
Похожие вопросы
Предмет: Геометрия,
автор: akarsanov
Предмет: Математика,
автор: nedetskix
Предмет: Математика,
автор: klaramarat9698
Предмет: Физика,
автор: ipup1999
Предмет: Биология,
автор: kagadeeva