Предмет: Алгебра, автор: 867574

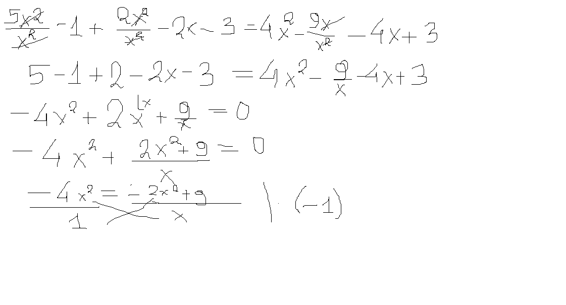
  5x^2/x^2-1+2x^2-2x-3=4x^25x^{2}/{x^{2}-1}+2x^{2}/x^2-2x-3=4x^{2}-9x/x^{2}-4x+3

 

помогите!!

5х^2/x^2-1+2x^2/x^2-2x-3=4x^2-9x/x^2-4x+3

 

 

 1/x^2-1/x-30=0

 

z^2-1/z^2+5z-6=0 

 

 

 

 

Ответы

Автор ответа: Delphina
0

дальше про порцией решаешь

Приложения:
Похожие вопросы
Предмет: Математика, автор: vladimirtepluhin2010
Предмет: Алгебра, автор: kotelnikova