Предмет: Математика,
автор: nafanja97
решите пожалуйста!!
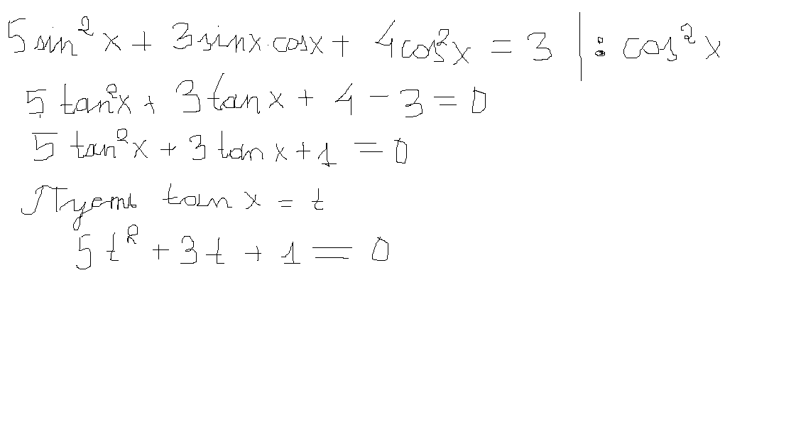
5sin(квадрат) х + 3sinxcosx + 4cos(квадрат)x = 3
заранее спасибо
Ответы
Автор ответа:
0
дальше решаешь обычное квадратное уравнение!удачи)
Приложения:
Похожие вопросы
Предмет: Математика,
автор: nuralib034
Предмет: Другие предметы,
автор: margaritavolosina941
Предмет: Математика,
автор: angelina9260
Предмет: Биология,
автор: ledi2000