Предмет: Алгебра, автор: Misha54531

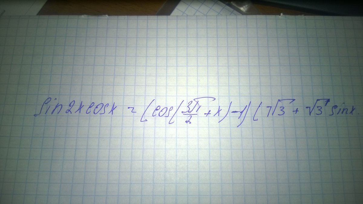
Помогите решить пример тригонометрия ! sin2xcosx=(cos(3p/2+x)-1)(3 под корнем ( корень закрыт )+ подкорнем 3 (корень закрыт ) * sinx)

Приложения:

Ответы

Автор ответа: vovandlux
0
2sinx cos^2{x} = sqrt{3} (sinx-1)(sinx+1) \ -2sinx( sin^{2}x-1 )= sqrt{3} (sin^{2}x-1) \ sinx=- frac{ sqrt{3}}{2}  \ x= pi n- (-1)^{n}  frac{ pi }{3}
Похожие вопросы
Предмет: Информатика, автор: вдовиченко13вероника