Предмет: Математика,
автор: maksimus122001
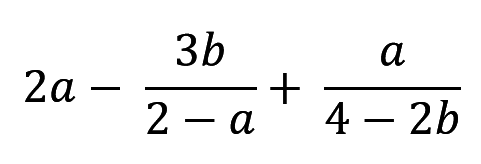
Найти допустимое значение выражения
A) а≠0, b≠0
В) a≠2, b≠0
С) a≠2, b≠-2
D) a≠2, b≠2
Приложения:
Ответы
Автор ответа:
0
Д, потому что при а=2 и б=2 знаменатели в дробях будут равны 0.
Похожие вопросы
Предмет: Қазақ тiлi,
автор: abdulazizbozsha
Предмет: Математика,
автор: birjankabilbek
Предмет: Русский язык,
автор: baglaneleusiz34
Предмет: Алгебра,
автор: Elena2001123
Предмет: История,
автор: adelka234