Предмет: Алгебра,
автор: Кристина6122
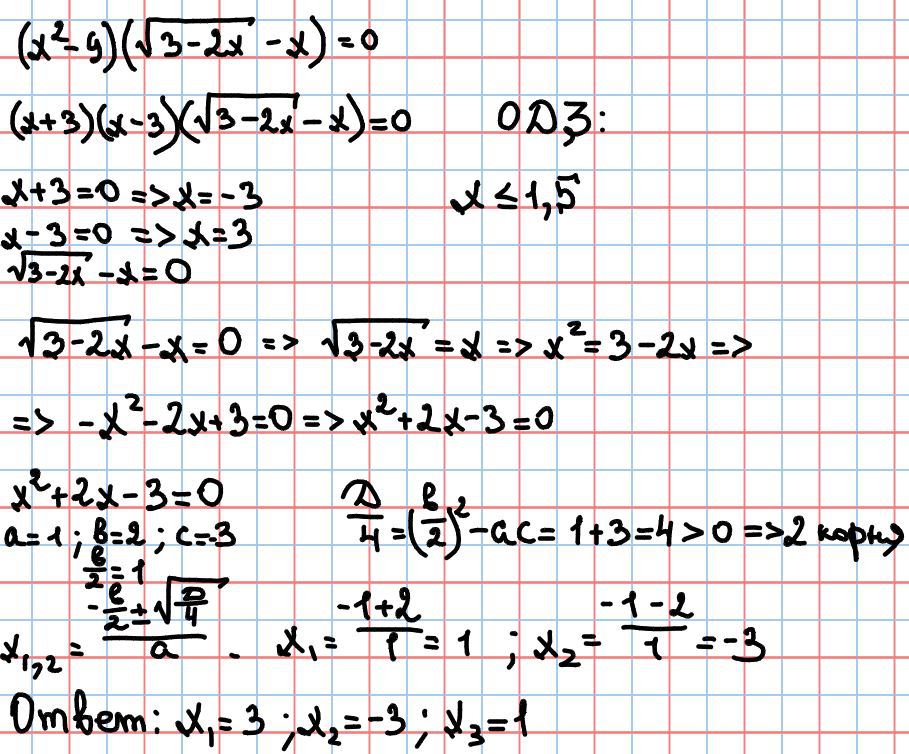
Решите уравнение с одз )
Приложения:
Ответы
Автор ответа:
0
-------------------Ответ: x=1;-3;-3.
Приложения:
Автор ответа:
0
Изи 10-11, который решил ученик 8 класса...
Похожие вопросы
Предмет: Геометрия,
автор: Аноним
Предмет: Математика,
автор: Аноним
Предмет: Қазақ тiлi,
автор: glebkaet
Предмет: Биология,
автор: VUSTU