Предмет: Алгебра,
автор: pwepwe
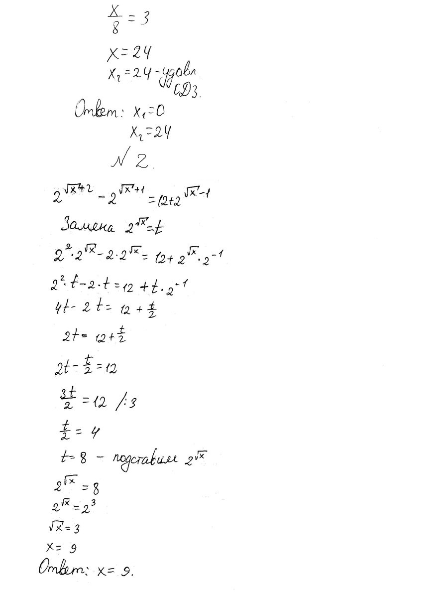
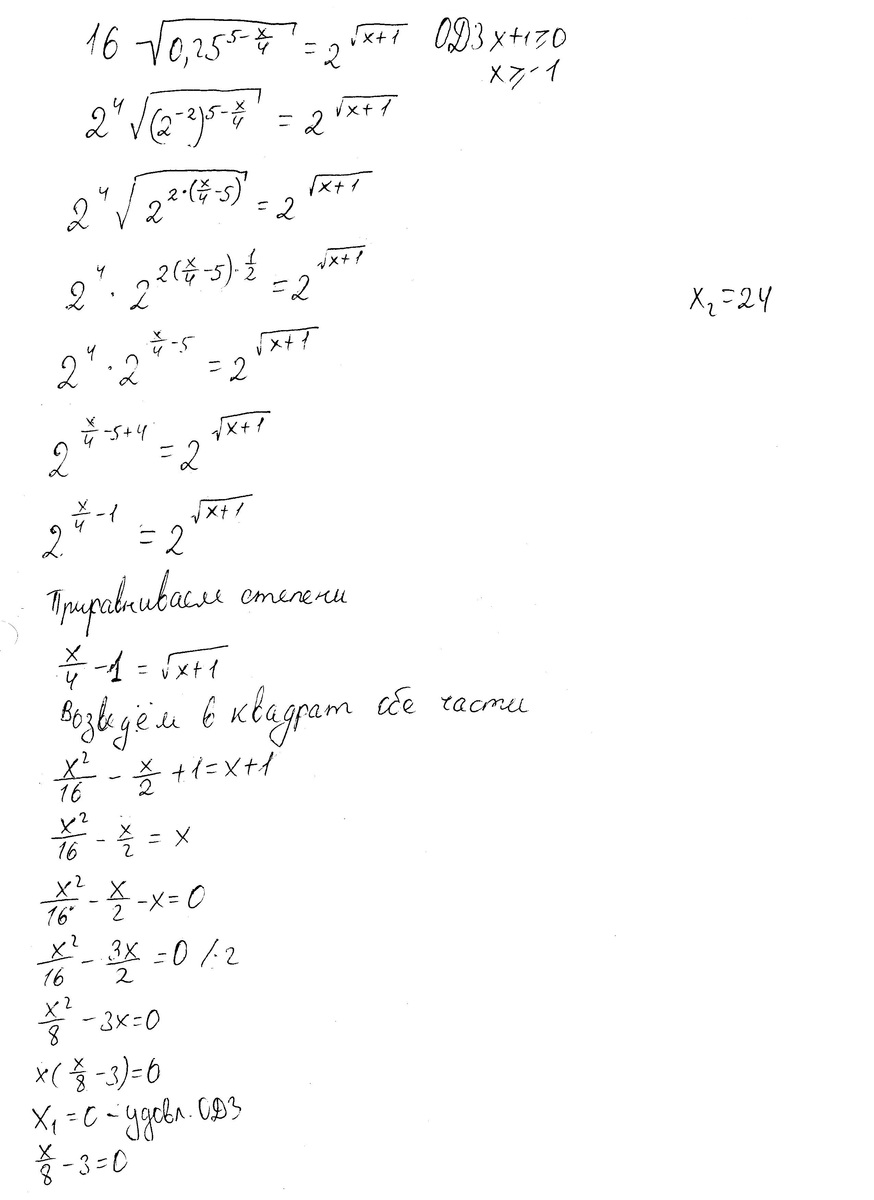
Решить показательные уравнения.
Приложения:
Ответы
Автор ответа:
0
Решение в приложении.
Приложения:
Похожие вопросы
Предмет: Химия,
автор: дима20072
Предмет: Алгебра,
автор: mliiiii
Предмет: Математика,
автор: alishka200801
Предмет: Литература,
автор: bestturt
Предмет: Биология,
автор: Nazira2002