Предмет: Алгебра,
автор: яблоко1345
решите логарифмические неравенства с одз (осн.-основание)
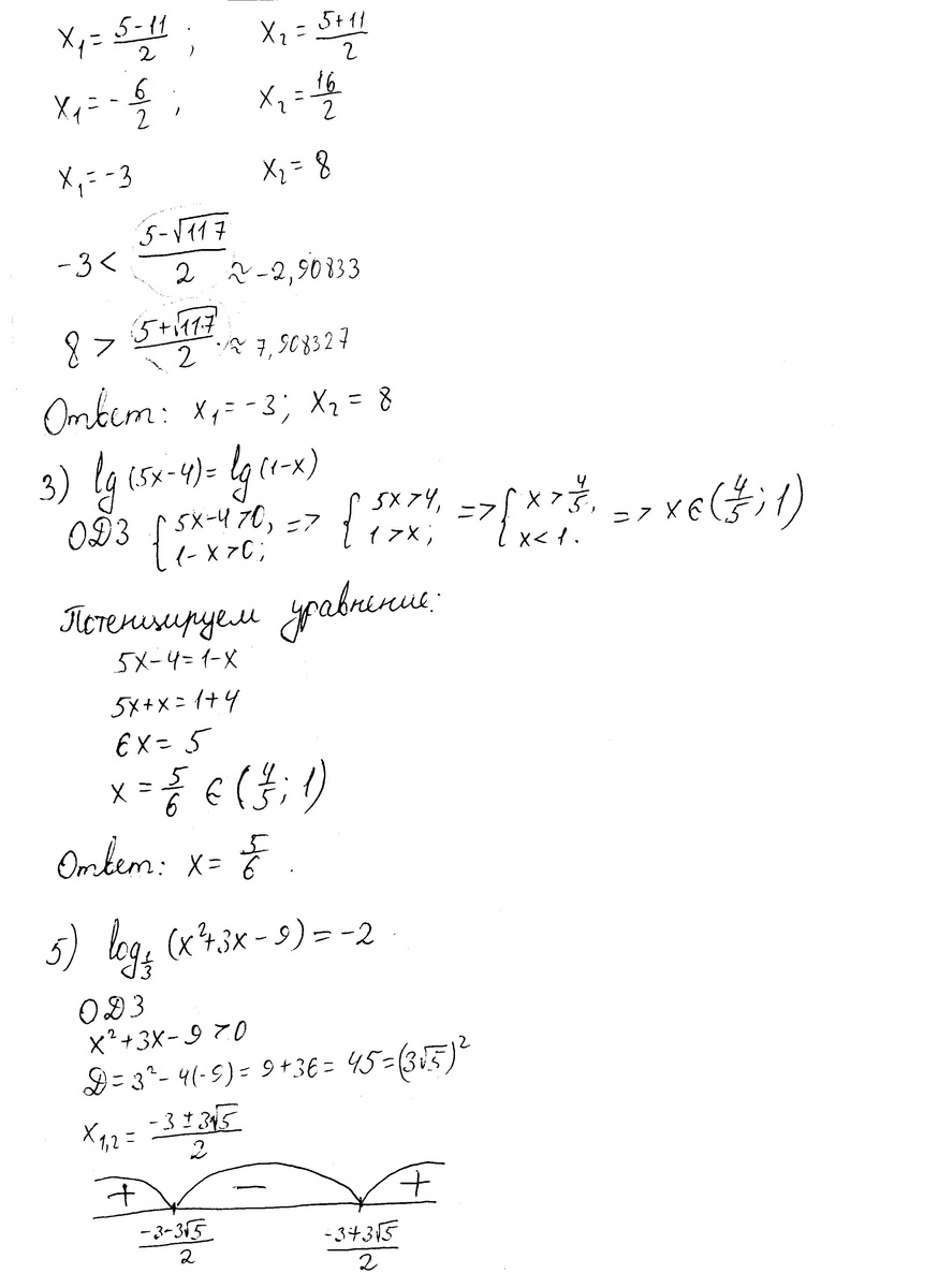
1)log(осн.)2 (4x+5)=log(осн)2(9-2х)
2)log(осн)3 (x^2-5x-23)=0
3)lg(5x-4)=log(1-х)
4)lg(5x-4)=log(осн)10(1-х)
5)lg(осн)1/3(x^2+3x-9)=-2
Ответы
Автор ответа:
0
Решение в приложении. Должно быть понятно.
Приложения:
Похожие вопросы
Предмет: Українська література,
автор: Аноним
Предмет: Биология,
автор: gqpwf
Предмет: Литература,
автор: zinkivoleg777
Предмет: Физика,
автор: Настенка267