Предмет: Математика,
автор: tamikkashirgov
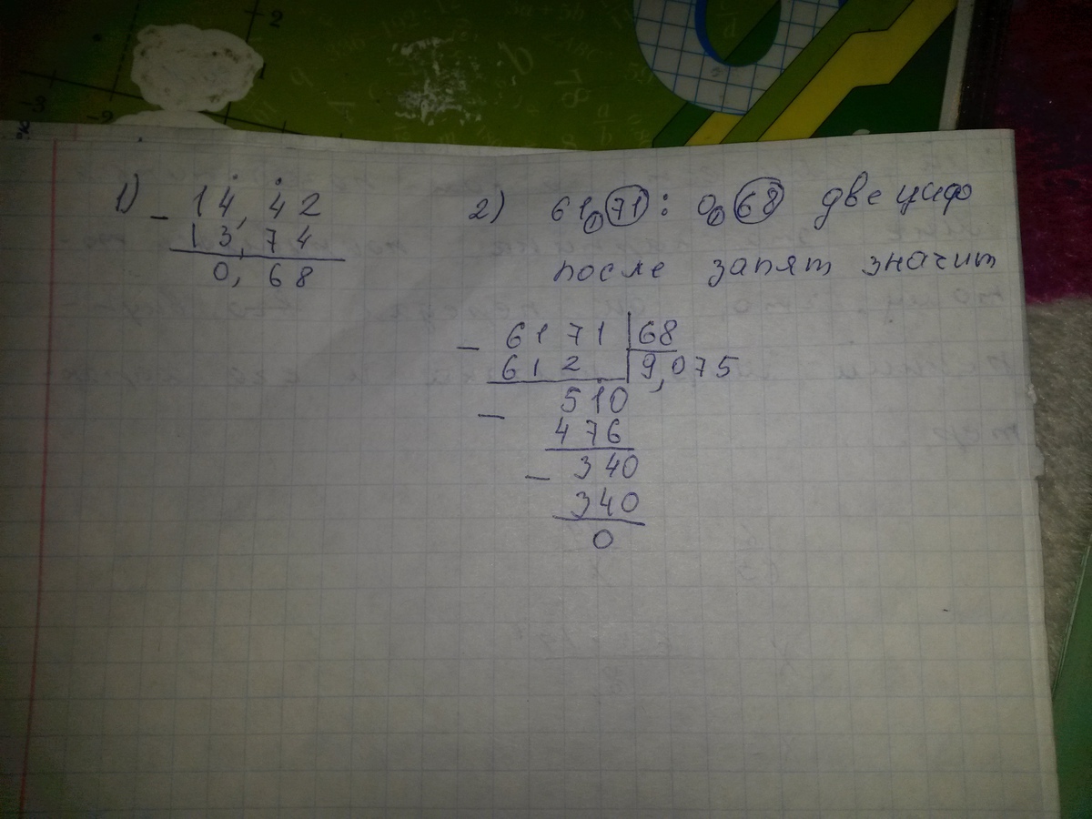
N 994 вычеслите 61,71:((14,42-13,74).
Ответы
Автор ответа:
0
14,42-13,74=0,68. Раздели в столбик 6171:68=9,075
Приложения:
Похожие вопросы
Предмет: Русский язык,
автор: sattorsafiya
Предмет: Биология,
автор: nargizaabdanbekova
Предмет: Математика,
автор: Аноним
Предмет: Физика,
автор: arinka332
Предмет: География,
автор: solnyshko2013333