Предмет: Алгебра,
автор: kirill67556
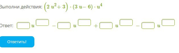
помогите пожулусто кто может
Приложения:
Ответы
Автор ответа:
0
z=-
Автор ответа:
0
!отрицательное!
Похожие вопросы
Предмет: Кыргыз тили,
автор: jfajfja
Предмет: Математика,
автор: sinelnikantonina2006
Предмет: Математика,
автор: CKRYTNYI
Предмет: Обществознание,
автор: galyavakulich