Предмет: Алгебра, автор: meme9

решите уравнения пожалуйста.........

Приложения:

Ответы

Автор ответа: hollowcaust
0
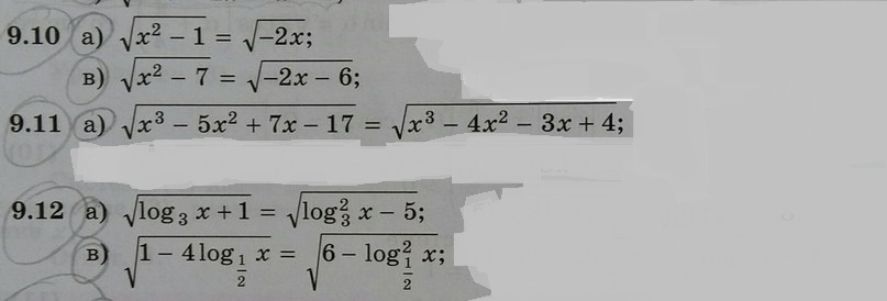
9.10a) sqrt{x^2-1}=sqrt{-2x}\x^2-1geq0;(x+1)(x-1)geq0\-2xgeq0;xleq0\D(f)in(-inf;-1)\x^2-1=-2x\x^2+2x-1\D=4+4=8\x_1=frac{-2+2sqrt2}{2}=sqrt2-1\x_2=frac{-sqrt2-1}{2}=-sqrt2-1

первый корень уж точно не принадлежит области определения, поэтому его рассматривать не станем.

Наверное, и без помощи калькулятора всякий уважающий себя человек знает, что √2 ≈ 1,41. так вот -√2-1 ≈ -2,41, и он входит в D(f). Следовательно, он и является ответом.

 sqrt{x^2-7}= sqrt{-2x-6}\ left {{{x^2-7geq0;(x-sqrt7)(x+sqrt7)geq0}atop {-2x-6geq0};xleq0}right.\\D(f)in(-inf;-sqrt7][sqrt7;3]\\x^2-7x=-2x-6\x^2+2x-1

вышла аналогичная ситуация. теперь нам необходимо только проверить, входят ли корни в D(f)

Первый корень = √2-1≈0,414
Второй корень = -√2-1≈-2,414

Для того чтобы убедиться,нужно сверить их квадраты.

(√7)² = 7
(-√2-1)² = 2 +2√2+1 = 3+2√2 ≈ 5.83.
(√2-1)²= 2 - 2√2 +1 = 3 - 2√2 ≈0.17

Ни один из корней, даже будучи с отрицательным знаком, не входит D(f)


Похожие вопросы
Предмет: Алгебра, автор: eror40457
Предмет: История, автор: bletikoori
вопросы теста :
1. Как звали великого полководца, правителя хуннов?
А. Бумын
Б. Аттила
В. Модэ
2.правитель туранцев в Центральной Азии?
А. Афрасиаб
Б. Кир
В. Ашина
3. Курганные надгробия, тип каменной бабы?
А. Балбалы
Б. Руны
В. Петроглифы
4. Потомственный историограф династии Хань, создатель "Ши цзи'?
А. Маодунь
Б. Сыма Цянь
В. У, ди
5. Женское божественное начало у тюркских народов, покровительница женщин?
А. Томирис
Б. Умай
В. Тенгри
6.в каком году распался на 2 части Тюркский каганат?
А. 704г
Б. 556г
В. 603г
7.в каком году кыргызы отправили дипломатическую миссию в Китай?
А. 643г
Б. 649г
В. 702г
8. Правитель кыргызов, посетивший Китай с политической целью?
А. Тимуд
Б. Шабоцуй Ачжан
В. Ван Хун
9.кыргызская молодежь обучалась в в Китае:
А. Получала образование и воспитание
Б. Тратили своё время
В. Хотели увидеть Китай
10. Китайцы побывали у кыргызов и произвели обмен коней на шелка, форфор- укажите год?
А. 676г
Б. 650г
В. 701г.помогите пожалуйста​