Предмет: Алгебра,
автор: ishchienkoi
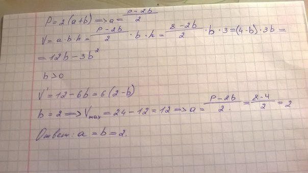
Периметр основания прямоугольного параллелепипеда 8 м, а высота 3 м. Какой длины должны быть стороны основания, чтобы объем параллелепипеда был наибольшим?(Решать через функцию)
Ответы
Автор ответа:
0
Пусть а. b - стороны основания.
Приложения:
Похожие вопросы
Предмет: Русский язык,
автор: evgenijsiskin045
Предмет: Математика,
автор: SerikNuraiym
Предмет: Русский язык,
автор: Аноним
Предмет: Биология,
автор: ZhukovaKatya
Предмет: Алгебра,
автор: волнуешь