Предмет: Алгебра,
автор: Ekaterina1564
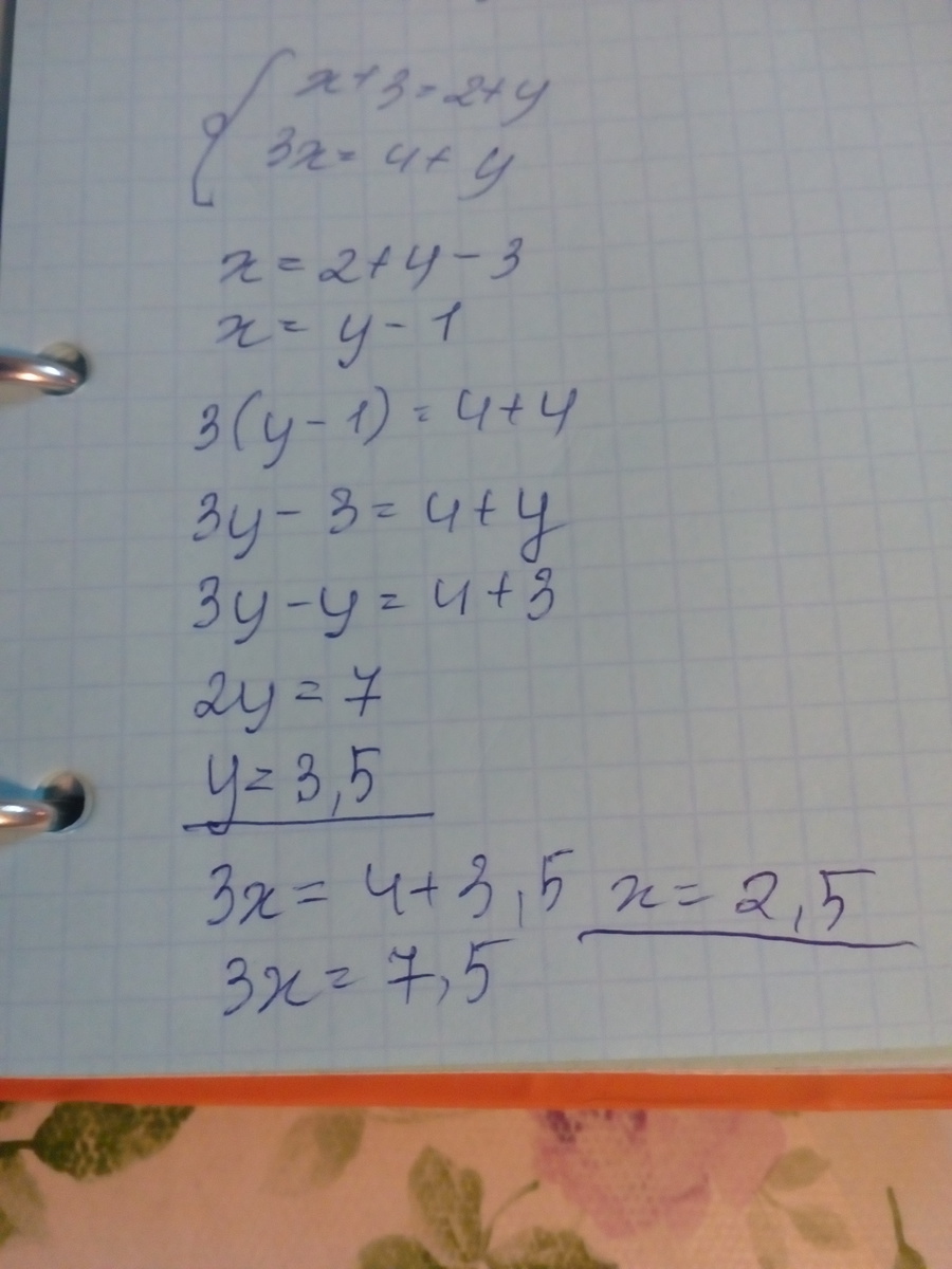
решите плиз
ответ:2,5 и 3,5
Приложения:
Ответы
Автор ответа:
0
Вот, методом подстановки)
Приложения:
Похожие вопросы
Предмет: Математика,
автор: karinaabdrahmanova24
Предмет: Математика,
автор: erdeneronayli1980
Предмет: Русский язык,
автор: hdjdhgdgsbvshshvs
Предмет: Математика,
автор: Danulko
Предмет: Математика,
автор: Limonok88