Предмет: Алгебра,
автор: Valeria9794723
Помогите решить уравнения пожайлуста подробнее:
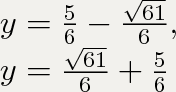
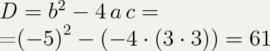
1)3y^2-5y-3=0
2)4y^2-7y+1=0
Ответы
Автор ответа:
0
Три первых фото это 3y^2-5y-3=0
Приложения:
Похожие вопросы
Предмет: Русский язык,
автор: Аноним
Предмет: Английский язык,
автор: Neila000
Предмет: Қазақ тiлi,
автор: milenaborobina
Предмет: География,
автор: mrtaratov