Предмет: Алгебра,
автор: WWWMagistr
Решить рациональное дробное уравнение.
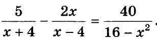
Уравнение картинкой.
Приложения:
Ответы
Автор ответа:
0
(5(х-4)-2х(х+4)+40)х^2-16=0
5х-20-2х^2-8x+40=0
-2х^2-3х+20=0
2х^2+3x-20=0
D=9+160=169
x1=(-3+13)/4=2,5
x2=(-3-13)/4=-4
знаменатель х^2-16 не равен 0
х не равен-4 и 4 так как на ноль делить нельзя отсюда ответ 2,5
Еще знаменатель 16-х^2 умножили на -1 получаем х^2-16
5х-20-2х^2-8x+40=0
-2х^2-3х+20=0
2х^2+3x-20=0
D=9+160=169
x1=(-3+13)/4=2,5
x2=(-3-13)/4=-4
знаменатель х^2-16 не равен 0
х не равен-4 и 4 так как на ноль делить нельзя отсюда ответ 2,5
Еще знаменатель 16-х^2 умножили на -1 получаем х^2-16
Похожие вопросы
Предмет: Математика,
автор: minok479
Предмет: Физика,
автор: natalya110420
Предмет: Математика,
автор: Аноним
Предмет: Химия,
автор: LALkatoi