Предмет: Алгебра,
автор: MrsGold19
Ребят, нужна ваша помощь, пожалуйста!!!!!
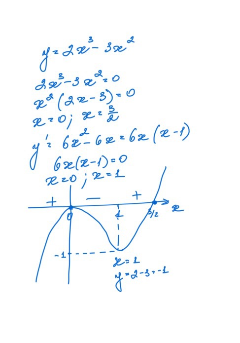
Исследовать функцию и построить график:
Приложения:
Ответы
Автор ответа:
0
Лучше делай по образцу как делаете в классе, если учишься в ВУЗе, то с помощью пределов нужно показать что функция от минус бесконечности до бесконечности
Приложения:
Похожие вопросы
Предмет: Русский язык,
автор: Аноним
Предмет: Алгебра,
автор: hopokichan
Предмет: Қазақ тiлi,
автор: tehnodomt360
Предмет: Математика,
автор: damir20002
Предмет: История,
автор: Светлика