Предмет: Математика,
автор: Dont1
сос 4 номер буква в)
Приложения:
Ответы
Автор ответа:
0
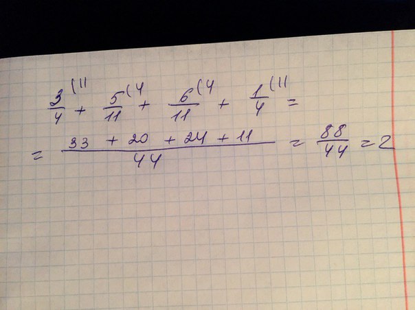
Приводим все к общему знаменателю 44, получаем в числителе 33+20+24+11, дальше складываем, получается 88/44=2
Приложения:
Автор ответа:
0
сами учетиля
Автор ответа:
0
ахахахах, Господи, хорошо
Автор ответа:
0
Ты понимаешь, что у тебя знаменатель разный, там 4 и 11, ты не можешь складывать числитель, ибо разные знаменатели, ты можешь их скомбинировать, конечно, но правильнее так, как решила я
Автор ответа:
0
тебе нужно сделать ОБЩИЙ ЗНАМЕНАТЕЛЬ КО ВСЕМ ДРОБЯМ, тогда ты сможешь посчитать числитель...
Автор ответа:
0
в пункте А и Б - знаменатель одинаковы, поэтому ты складываешь просто то, что сверху, здесь у тебя не одинаковые дроби
Похожие вопросы
Предмет: Алгебра,
автор: loperfasd
Предмет: Математика,
автор: susdanya60
Предмет: Математика,
автор: susdanya60
Предмет: Алгебра,
автор: devochka2014
Предмет: История,
автор: ariananasytko