Предмет: Алгебра,
автор: zebrakosha01
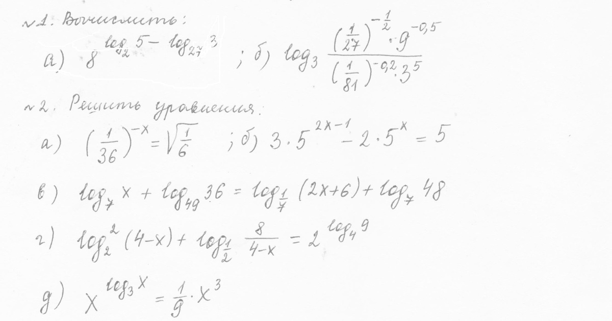
помогите пожалуйста!! хоть что-то!
Приложения:
Ответы
Автор ответа:
0
Решение находится во вложенном файле
Приложения:
Автор ответа:
0
большое спасибо
Похожие вопросы
Предмет: Литература,
автор: artemkaanuskevic
Предмет: Английский язык,
автор: Аноним
Предмет: Английский язык,
автор: hsbaha
Предмет: Математика,
автор: kira890