Предмет: Алгебра,
автор: Enna11
20 в кружочке
Однородное тригонометрическое уравнение
Приложения:
Ответы
Автор ответа:
0
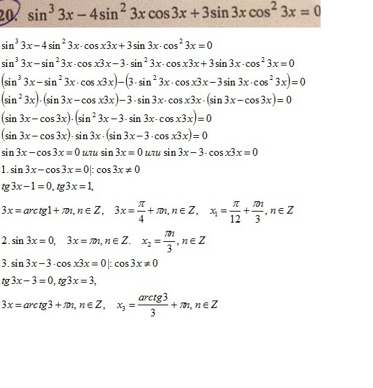
решение во вложении------------------------------
Приложения:
Похожие вопросы
Предмет: Обществознание,
автор: alchieva29
Предмет: Математика,
автор: Артем3900
Предмет: Қазақ тiлi,
автор: dilnazaimuhanbet
Предмет: Математика,
автор: Аноним