Предмет: Алгебра,
автор: руслан062802
нужно сделать все задания!
пожалуйста
Приложения:
Ответы
Автор ответа:
0
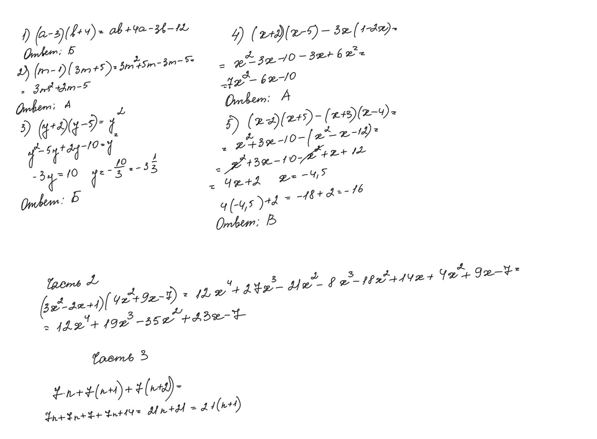
1-Б, 2-А,3-Б, 4А,5-В, 6- 12x^4+19x^3 -35x^2+23x-7, 7- так как при сложении трех чисел кратных 7 получается число коатное 7, значет оно делится на 21, так как это число тоже кратно 7
Автор ответа:
0
Решение находится во вложении
Приложения:
Похожие вопросы
Предмет: Математика,
автор: vikais20052007
Предмет: Алгебра,
автор: vyfavavq1
Предмет: Литература,
автор: bezruchkoartur1
Предмет: Математика,
автор: kichina52
Предмет: Физика,
автор: Аноним