Предмет: Алгебра,
автор: nikatsibuliaeva
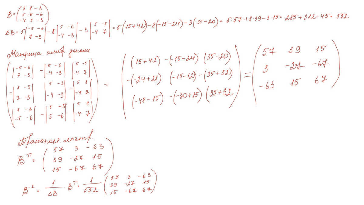
Найти "B" в степени -1
Тема: вычисление определителей и обратной матрицы.
Приложения:
Ответы
Автор ответа:
0
Конечно... Очень странное задание. Любое решение выглядит весьма некрасиво(
Приложения:
Автор ответа:
0
Благодарю Вас за помощь! :) Сегодня вы меня выручаете уже в какой раз. ;-)
Автор ответа:
0
Ну не знаю, выбирать в качестве лучшего решение с очевидной ошибкой... Но все равно, спасибо)
Автор ответа:
0
решение смотри во вложении
Приложения:
Автор ответа:
0
Было правильно, если бы в условии b3,1 был 4, а не -4. А так...
Похожие вопросы
Предмет: Қазақ тiлi,
автор: valyamukanova620
Предмет: Физика,
автор: 0975587
Предмет: Қазақ тiлi,
автор: dauletkyzyakylaj
Предмет: Математика,
автор: Наська1602