Предмет: Математика,
автор: Аноним
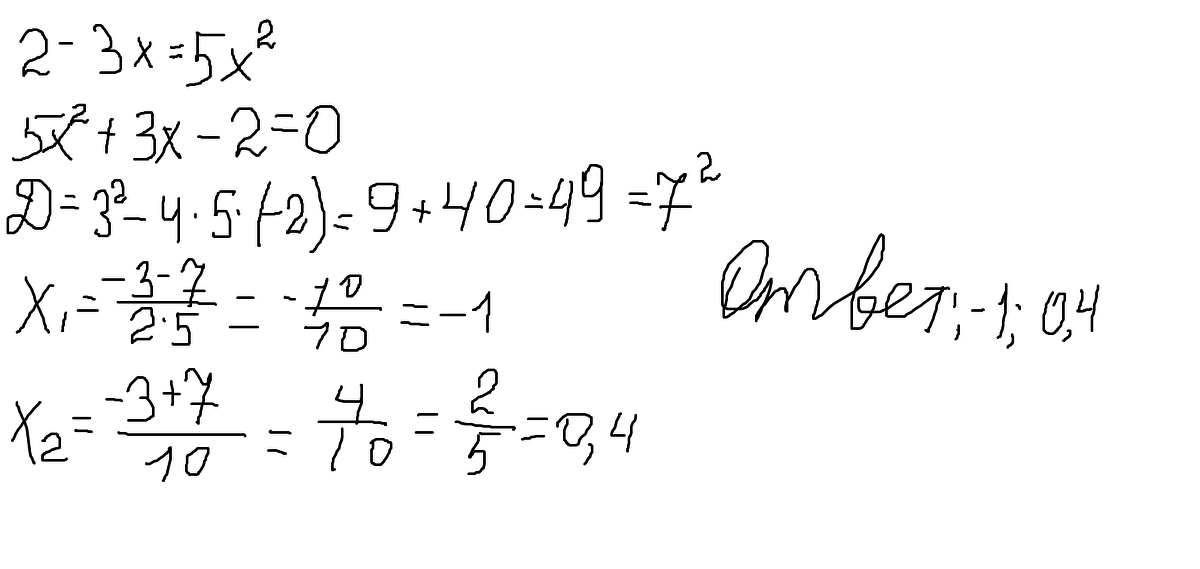
2-3x=5x^2. решит через дискриминант пожалуйста
Ответы
Автор ответа:
0
вот тут все написано подробно
Приложения:
Похожие вопросы
Предмет: Химия,
автор: krevetka2020
Предмет: История,
автор: Аноним
Предмет: Қазақ тiлi,
автор: finko19999
Предмет: Физика,
автор: PolinaYudinzewa