Предмет: Физика,
автор: МАрИйКа14
..........…;;;;помогите
Приложения:
Ответы
Автор ответа:
0
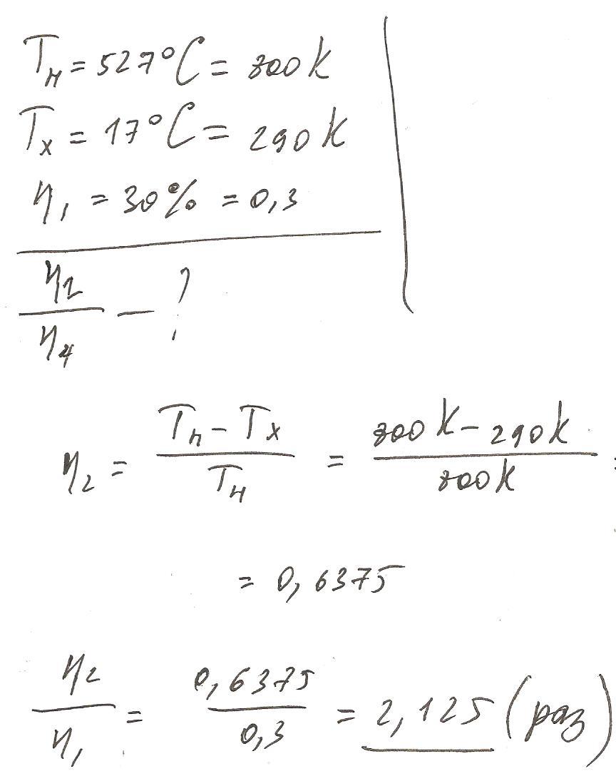
надеюсь будет понятно....
Приложения:
Похожие вопросы
Предмет: Алгебра,
автор: DIDAR4IK2231
Предмет: Физика,
автор: KakoitoPacan
Предмет: ОБЖ,
автор: Aibiyke2008
Предмет: Математика,
автор: 25630
Предмет: Алгебра,
автор: sach