Предмет: Алгебра,
автор: viktoriaai
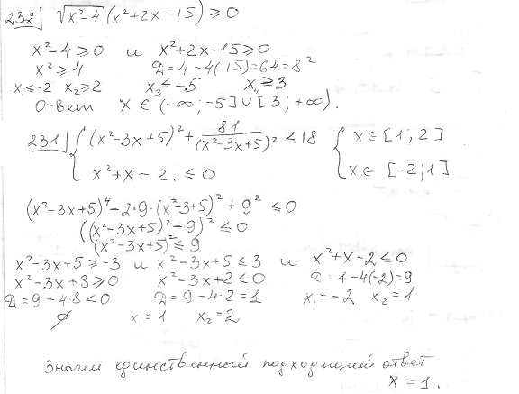
Помогите пожалуйста, заранее спасибо. Оба номера.
Приложения:
Ответы
Автор ответа:
0
мой вариант решения во вложении
Приложения:
Похожие вопросы
Предмет: Қазақ тiлi,
автор: zarina7191
Предмет: Математика,
автор: 55782
Предмет: География,
автор: Neznay0
Предмет: Физика,
автор: kulieva97
Предмет: Алгебра,
автор: olenolen