Предмет: Математика,
автор: dimas26022000
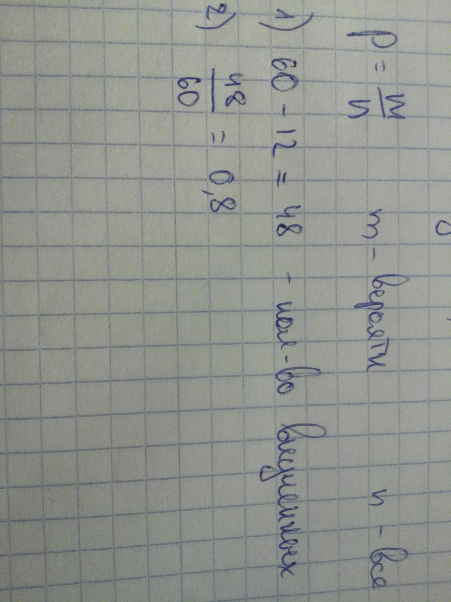
На экзамене 60 билетов, Олег не выучил 12 из них. Найдите вероятность того, что ему попадется выученный билет.
Ответы
Автор ответа:
0
....................
Приложения:
Похожие вопросы
Предмет: Русский язык,
автор: evaesaan90
Предмет: Биология,
автор: alexsmirnov42
Предмет: Литература,
автор: karolina5858
Предмет: Алгебра,
автор: nazarka2014
Предмет: История,
автор: petr2013