Предмет: Математика,
автор: 1233456678
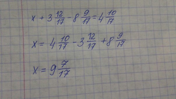
(х +3 целых 12 семнадцытых ) -8 целых девять семнадцытых=4 целых 10 семнадцытых решите уравнение
Ответы
Автор ответа:
0
Вроде так. должно быть правильно
Приложения:
Автор ответа:
0
тебе большое спасибо
Похожие вопросы
Предмет: Математика,
автор: kalievao001
Предмет: География,
автор: sawa190900
Предмет: Окружающий мир,
автор: tolib19891989
Предмет: Физика,
автор: НаСьКа077
Предмет: Алгебра,
автор: dyjxrjsxv