Предмет: Математика,
автор: AlinkaMalinkaKalinka
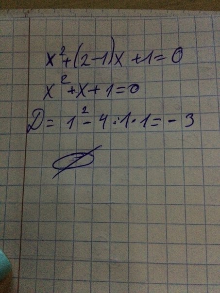
помогите решить уравнение
Ответы
Автор ответа:
0
нет решений данного уравнения
Приложения:
Похожие вопросы
Предмет: Математика,
автор: Аноним
Предмет: Русский язык,
автор: Аноним
Предмет: Математика,
автор: alimovasabina235
Предмет: Математика,
автор: Аноним