Предмет: Алгебра,
автор: 59Vlad59
Помогите, люди добрые. И злые тоже)
Приложения:
Ответы
Автор ответа:
0
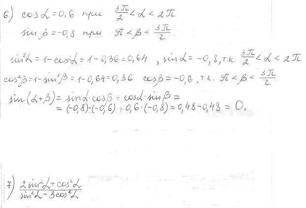
вот только первое вышло , со вторым пока что в тупике(((
Приложения:
Похожие вопросы
Предмет: Другие предметы,
автор: Аноним
Предмет: Английский язык,
автор: safyatastanbekova
Предмет: Қазақ тiлi,
автор: vlad1234526
Предмет: Алгебра,
автор: vladimir412