Предмет: Геометрия,
автор: lomerondick
Помогите решить 4 и 5 пожалуйста)
Приложения:
Ответы
Автор ответа:
0
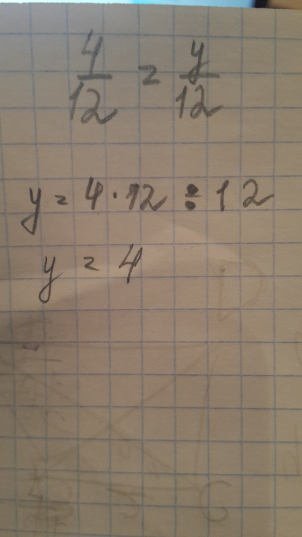
№5 б
№4 в.................................
№4 в.................................
Приложения:
Похожие вопросы
Предмет: Математика,
автор: murataiaru0909
Предмет: Математика,
автор: Аноним
Предмет: Математика,
автор: alemabekmukhanbetova
Предмет: Обществознание,
автор: alexalienbogd