Предмет: Алгебра,
автор: patriot404
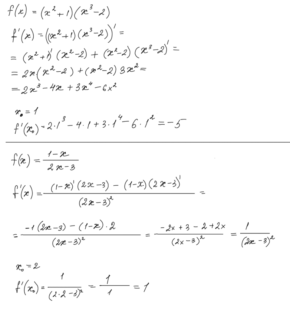
Найти значения производной в точке x0 Прошу помочь, не очень понимаю эту тему

Ответы
Автор ответа:
0
Сначала находим производную функции. Затем в производную функции вместо Х подставляем значение Х0.
Решение в прикрепленном файле.
Решение в прикрепленном файле.
Приложения:
Автор ответа:
0
Спасибо очень помогли !
Похожие вопросы
Предмет: Қазақ тiлi,
автор: kirumiokda
Предмет: Информатика,
автор: dianasolomatova10
Предмет: Русский язык,
автор: Аноним
Предмет: Алгебра,
автор: Marina230598
Предмет: Математика,
автор: Adel228