Предмет: Математика, автор: karishka595

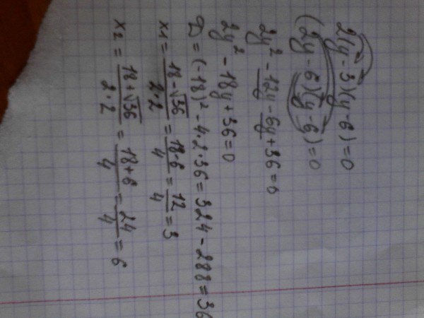
2(у-3)(у-6)=0 помогите решить уравнение

Ответы

Автор ответа: Полиночка202
0
2y-6*y-6=0
2y-6y=6
-4y=6
y=-6:4
y=-1,5

Автор ответа: Полиночка202
0
ответ:-1,5
Автор ответа: 3035tjy
0
...........................................
Приложения:
Похожие вопросы
Предмет: Қазақ тiлi, автор: lusifer66674
Предмет: Қазақ тiлi, автор: Аноним
1. Мәтін не туралы?
2. Қазіргі кезде неше шоқжұлдыз бар?
3. Жұлдыздар орнынан қозғала ма?
4. Джордано Бруно деген кім?
5. Ғалымдар жұлдыздарды қайда зерттейді?
6. Бессель нені зерттеген?
7. Ол нені анықтаған?
текст:
Ерте заманнан адамдар жұлдызды аспанды шоңжұлдыздарға бөлген. Қазіргі кезде 88
шоқжұлдыз бар. Көп уақыт дейін жұлдыздар орнынан қозғалмайды деп жорамалдаған, Аристотель заманынан бастап көптеген ғасырлар бойы жұлдызды аспан мәңгілік өзгермейді деп ойлаған. Аспан хрусталь сфера, оның сыртында құдайлар өмір сүреді деп жорамалдаған. ғасырдың соңында Джордано Бруно жұлдыздар Күн сияқты аспан денелері деген пікір айтқан. Ғалымдар жұлдыздарды дүниежүзіндегі үлкен обсерваториялар мен астрономиялық
орталыңтарда зерттейді. Қазақстанда Астрофизика институтында зерттейді.
Неміс ғалымы Бессель аспан әлемін зерттеген. Бессель жаңа аспан денелерін ашқан Ғалым әлемдегі бірінші астроном. Ол 75 мың жұлдыздың орналасуын анықтаған, Ол Коперниктің ілімін дәлелдеген, Коперник бірінші рет Жердің дөңгелек екенін айтқан. Бессель Кёнигсберг обсерваториясында жұмыс істеген. Бессель XIX ғасырда ғылымды дамытуға көп еңбек еткен.