Предмет: Алгебра,
автор: aleksbro2014
Прошу помогите решить очень нужно
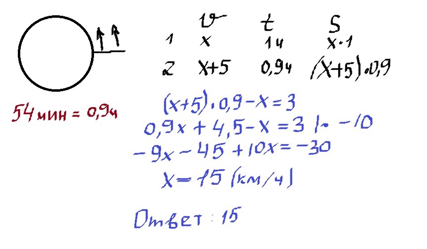
Два бегуна одновременно стартовали в одном направлении из одного и того же места круговой трассы в беге на несколько кругов. Спустя один час, когда одному из них оставалось 3 км до окончания первого круга, ему сообщили, что второй бегун прошёл первый круг 6 минут назад. Найдите скорость первого бегуна, если известно, что она на 5 км/ч меньше скорости второго.
Ответы
Автор ответа:
0
..............................
Приложения:
Похожие вопросы
Предмет: Обществознание,
автор: Ydaamreityoava
Предмет: Қазақ тiлi,
автор: tokarieviana
Предмет: Українська мова,
автор: mariazagorodnaa72
Предмет: Математика,
автор: МилашкАНяшкА2014
Предмет: Математика,
автор: niknilnom