Предмет: Математика,
автор: атекан55555
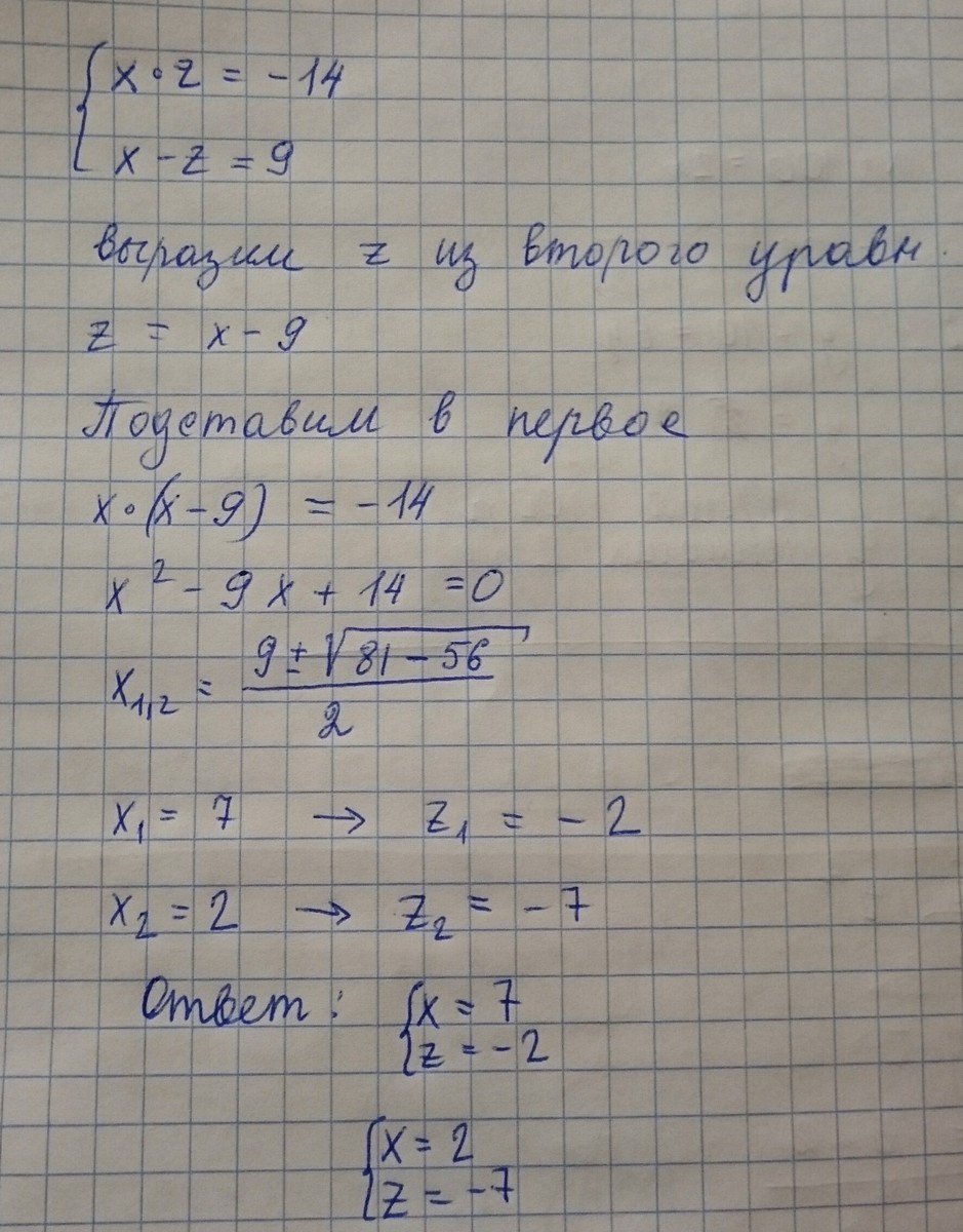
решите систему уравнений способом подстановки xz=-14 x-z=9
Ответы
Автор ответа:
0
надеюсь, что все правильно
Приложения:
Похожие вопросы
Предмет: Физика,
автор: zoirovasabrina9559
Предмет: Қазақ тiлi,
автор: isaevasaniat561
Предмет: Математика,
автор: kotpot938
Предмет: Алгебра,
автор: lerasoboleva
Предмет: Математика,
автор: Ддл