Предмет: Алгебра,
автор: lololoshka322
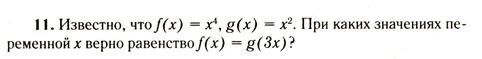
здесь получается при х - любое число?
Приложения:
Ответы
Автор ответа:
0
Использовано определение функции
Приложения:
Похожие вопросы
Предмет: Немецкий язык,
автор: Аноним
Предмет: Математика,
автор: Zeus3000
Предмет: Английский язык,
автор: apoanyl64
Предмет: Алгебра,
автор: bykovapolina