Предмет: Химия,
автор: zaharooow
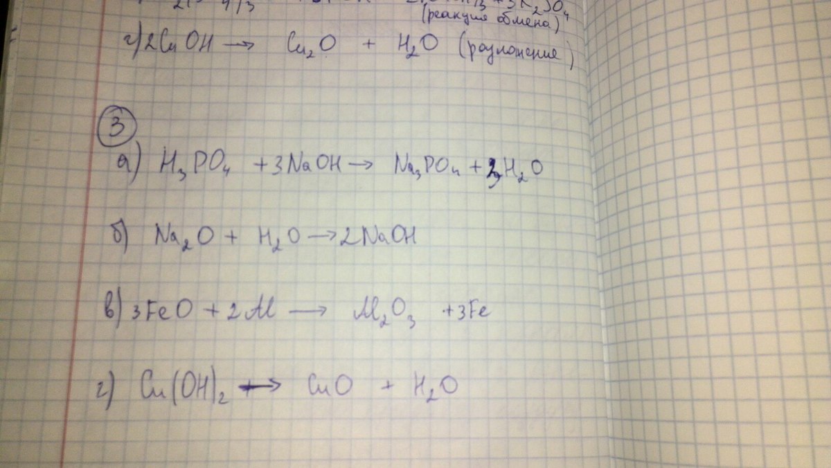
помогите определить тип реакции
Приложения:
Ответы
Автор ответа:
0
а) обмен
б) соединение
в) замещение
г) разложение
б) соединение
в) замещение
г) разложение
Автор ответа:
0
a)обмен
б) соединение
в)замещение
г)разложение
б) соединение
в)замещение
г)разложение
Похожие вопросы
Предмет: Математика,
автор: aruanatat
Предмет: Математика,
автор: deker025
Предмет: Литература,
автор: katyalllllhhh
Предмет: Алгебра,
автор: Аноним
Предмет: Обществознание,
автор: CHUUUKLI