Предмет: Алгебра, автор: vasilek1261

Помогите пожалуйста сделать 1 и 2 номер))

Приложения:

Ответы

Автор ответа: N0RVE1
0
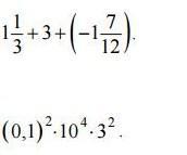
1) 4/3+3=13/3
13/3-19/12= 52-19/12=33/12=2,75
2) (0,1)^2= 10^-2
10^-2*10^4*3^2= 10^2*3^2=100*9=900
Похожие вопросы
Предмет: Музыка, автор: jerryspringer
Тема: «Музыкальная живопись и живописная музыка».

И. Левитан-русский художник-пейзажист.

Рассмотрите картину «Вечерний звон» в жанре «пейзаж».

В картине звучит голос природы: мы слышим плеск воды, крики чаек, шелест дубравы; звонят колокола в монастыре…Просто здесь всё тихо, приглушенно, как бы в полголоса. Можно «услышать мелодию тишины». В этой картине чувствуется задушевная мелодия. Она звучит тихо, задумчиво, нежно.

Художник использовал протяжные, широкие линии горизонтали картины в изображении неба, реки и дубравы. Эти линии в переносе на музыкальный язык могут иметь напевный, песенный характер.

В картине мы видим спокойные краски, размеренность. Можно увидеть замершее и неторопливое движение. В музыке спокойное движение и спокойный ритм. Настроение светлое, с оттенком задумчивой печали, «голос» картины негромок.

Взгляд сосредотачивается на куполах монастыря, в лучах заходящего солнца. Композиционно картина построена так, что, несмотря на широкие, растекающиеся линии полотна, взгляд зрителя сосредотачивается в центре. Розовато-золотистые отблески играют в облаках и на верхушках деревьев; река и берег уже поглощены пеленой сумерек. Цветовая гамма картины благородна, тепла, лирична.

Интересно, получается, говорим о пейзаже, а произносим слово «мелодия». Задание. Письменно ответьте на вопросы.

1. Какая мелодия Вам слышится?

2. Чем хотел поделиться с нами художник? Каков его замысел?

3. О чем говорит картина?
Предмет: Обществознание, автор: Robokop06
А.1 Полная независимость государства от других государств называется 1) консенсусом 2) авторитетом 3) суверенитетом 4) нейтралитетом
А.2 Укажите действие, которое не является формой участия граждан в политической жизни 1) письменное обращение в местную администрацию 2) избрание депутатов в законодательный орган власти 3) участие в организации политической партии 4) участие в деятельности профессионального союза
А.3 В государстве Л. существует единая система законодательной, исполнительной и судебной власти, а также единая финансовая система и одна Конституция. Государство Л. делится на штаты, которые не обладают самостоятельностью. Какова форма государственно-территориального устройства государства Л.? 1) конфедерация2) унитарное государство3) федеративное государство4) монархияА.4 В государстве Т. у граждан отсутствует право совершать политический выбор, а также политический, идеологический и экономический плюрализм в стране. Граждане не могут оказать воздействие на власть, которая осуществляет полный контроль за всеми сферами жизни общества. Какой политический режим существует в государстве Т.? 1) демократический2) авторитарный3) тоталитарный4) тираническийА.5 Партия «С.» отстаивает идеи верховенства закона, народовластия, прав человека. Это партия 1) консервативная2) демократическая3) анархистская4) фашистскаяА.6 Верны ли следующие суждения о государственном суверенитете? А. Государственный суверенитет не является основным признаком государства.Б. Ничем не ограниченного государственного суверенитета реально нет и быть не может.1) верно только А 2) верно только Б3) верны оба суждения 4) оба суждения неверныА.7 Верны ли следующие суждения о референдуме? А. Референдум является формой прямой демократии, позволяющей гражданам самим принимать окончательное решение по вынесенному на голосование вопросу.Б. На общенациональный референдум выносятся вопросы, касающиеся важнейших проблем политической жизни.1) верно только А 2) верно только Б3) верны оба суждения 4) оба суждения неверныА.8 Какое из перечисленных положений не относится к правам человека? 1) право собственности2) право на свободу творчества 3) право иметь друзей4) право на честь и достоинствоА.9 К целям уголовного наказания относится (-ятся) 1) восстановление справедливости2) исправление осужденного3) предупреждение совершения новых преступлений4) все перечисленныеА.10 Высшей ценность РФ согласно Конституции РФ является (-ются) 1) человек, его права и свободы2) земля и другие природные ресурсы3) принцип разделения властей4) гражданство РФА.11 К основным функциям Президента РФ относится 1) назначение Генерального прокурора РФ2) назначение Председателя Совета Федерации3) назначение Председателя Государственной Думы4) назначение Председателя Правительства РФ с согласия Государственной ДумыА.12 Выйдя на свободу после отбывания наказания, гражданин Б. познакомился с группой несовершеннолетних и решил приучить их к романтике новой жизни. По его плану несовершеннолетние проникли на дачу гражданина П. и забрали принадлежавшие ему драгоценности, видеомагнитофон, валюту. Это деяние гражданина Б. является 1) досадной случайностью2) преступлением3) проступком4) не имеет отношения к правонарушениямА.13 Верны ли следующие суждения о нормах права? А. Нормы права определяют общеобязательные границы возможного или должного поведения людей в обществе.Б. Нормы права обеспечиваются применением государственного принуждения.1) верно только А 2) верно только Б3) верны оба суждения 4) оба суждения неверны