Предмет: Химия,
автор: yshenic
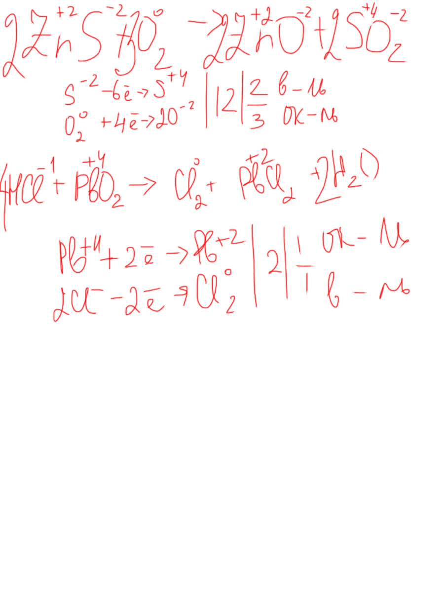
Методом электронного баланса подберите коэффициент в схемах окислительно-восстановительных реакций:
1) ZnS+O2→ZnO+SO2
2) HCl+PbO2→Cl2+PbCl2+H2O
Ответы
Автор ответа:
3
..........................
Приложения:
Похожие вопросы
Предмет: Алгебра,
автор: UnicorN0708
Предмет: География,
автор: DemonicDragon
Предмет: История,
автор: oksanabatucok
Предмет: Английский язык,
автор: Didi0119
Предмет: Английский язык,
автор: wowa321