Предмет: Алгебра,
автор: wwwwwwwwwwwwwwwwwww
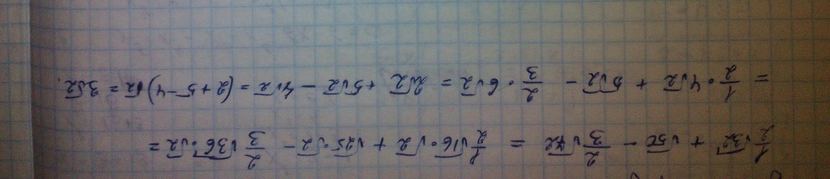
упростите выражения
Приложения:
Ответы
Автор ответа:
1
если есть вопросы пишите
Приложения:
wwwwwwwwwwwwwwwwwww:
можете помочь в параллелограмме авсд сторона вс равна 18 см ,а высота , проведенная к ад равна 7 см . найдите площадь параллелограмма
площадь параллелограма равна высота умножить на сторону, к которой она опущена. то есть S=7*18=126
BC=AD=18. H=7
какая формула по которой вычисляется площадь прямоугольного треугольника
S=1/2 * a*b
http://znanija.com/task/16516172
Похожие вопросы
Предмет: Українська мова,
автор: sashavdovychenko
Предмет: Литература,
автор: PopkaMladenca228
Предмет: Математика,
автор: topoliankaren
Предмет: Русский язык,
автор: dvs2504
Предмет: Английский язык,
автор: gajgh