Предмет: Алгебра,
автор: c0r3ytl
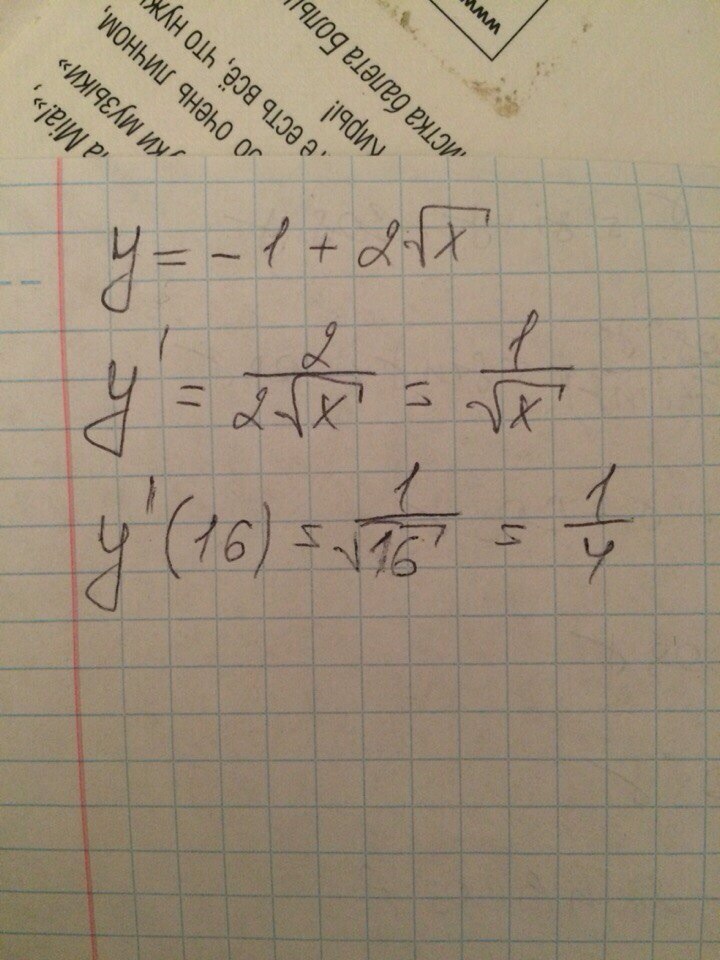
Даю 15 баллов, решите пожалуйста 10 пример, буду благодарен за помощь
Приложения:
Ответы
Автор ответа:
0
Довольно простой пример
Ответ Е
Приложения:
Похожие вопросы
Предмет: Другие предметы,
автор: ddovoidurshit
Предмет: Химия,
автор: myxamabiev78
Предмет: Қазақ тiлi,
автор: talgatylmiras
Предмет: История,
автор: arawraw
Предмет: История,
автор: химик10