Предмет: Химия,
автор: oven8072
Напишите пожалуйста к этому опыту уравнение реакции.
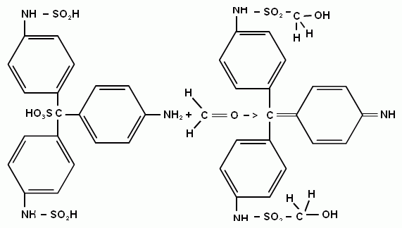
Качественная реакция на альдегиды с фуксинсернистой кислотой Одной из качественных реакций, позволяющих определить присутствие альдегидов, является реакция с фуксинсернистой кислотой. В пробирку с раствором формальдегида приливаем бесцветный раствор фуксинсернистой кислоты. Постепенно появляется фиолетовое окрашивание.
Ответы
Автор ответа:
0
Реакция в прикрепленном файле. Фуксинсернистая килота - реактив Шиффа.
Приложения:
Похожие вопросы
Предмет: Английский язык,
автор: tald6107
Предмет: Английский язык,
автор: ibragimrahmatov9
Предмет: Қазақ тiлi,
автор: utepbergenov27
Предмет: Алгебра,
автор: a7n7a7s7t7a7s7y7a